各地级以上市发展改革局(委)、顺德区发展规划和统计局:
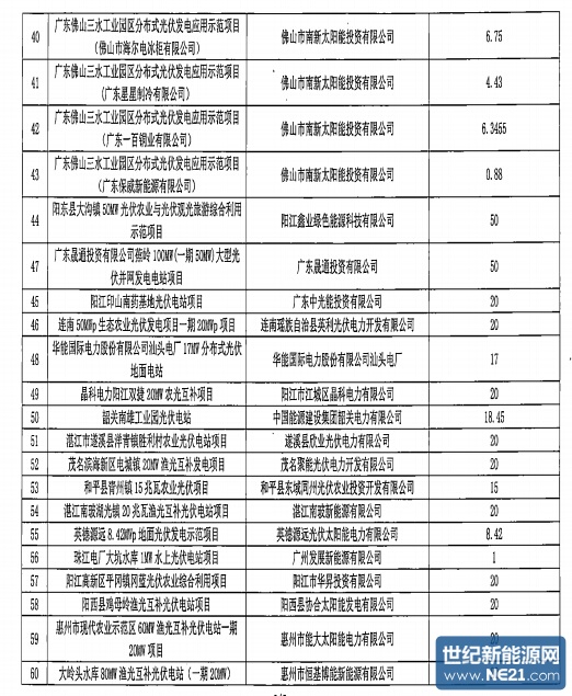
现将水电水利规划设计总院《关于确认广东省2014、2015年光伏建设实施方案的函》(水电规信息函〔2016〕15号)转发给你们,请做好光伏发电项目建设的监督管理工作,督促列入方案的各项目业主积极落实项目建设条件,促进项目建成投产并网发电。同时通知项目业主按照要求在国家能源局可再生能源发电项目信息管理平台及时填报项目建设、运行有关信息。
广东省发展改革委
2016年12月26日







免责声明:本平台仅供信息发布交流之途,请谨慎判断信息真伪。如遇虚假诈骗信息,请立即举报
举报