11月5日,江西省发展和改革委员会发布关于公布2025年江西省新能源机制电价首次竞价结果的通知。
经公开竞价和结果公示,2025年江西省新能源机制电价竞价结果为:风电项目机制电量为4.62亿千瓦时,机制电价为0.375元/千瓦时(含税,下同);光伏项目机制电量为1.31亿千瓦时,机制电价为0.330元/千瓦时。
详情如下:
关于公布2025年江西省新能源机制电价首次竞价结果的通知
各设区市发展改革委,国网江西省电力有限公司,江西电力交易中心有限公司,各有关经营主体:
根据《关于印发<江西省新能源上网电价市场化改革实施方案>的通知》(赣发改价管〔2025〕718号)、《关于印发<江西省增量新能源项目机制电价竞价实施细则>的通知》(赣发改价管〔2025〕719号)、《江西省发展改革委关于2025年新能源机制电价首次竞价工作有关事项的通知》(赣发改价管〔2025〕721号)等文件规定,我省组织开展了2025年新能源机制电价竞价工作。现将竞价结果及有关事项通知如下:
一、竞价结果
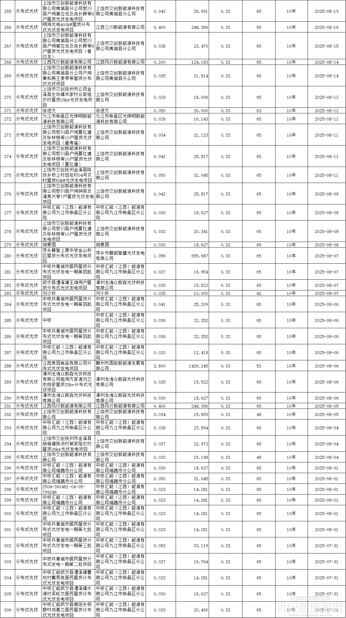
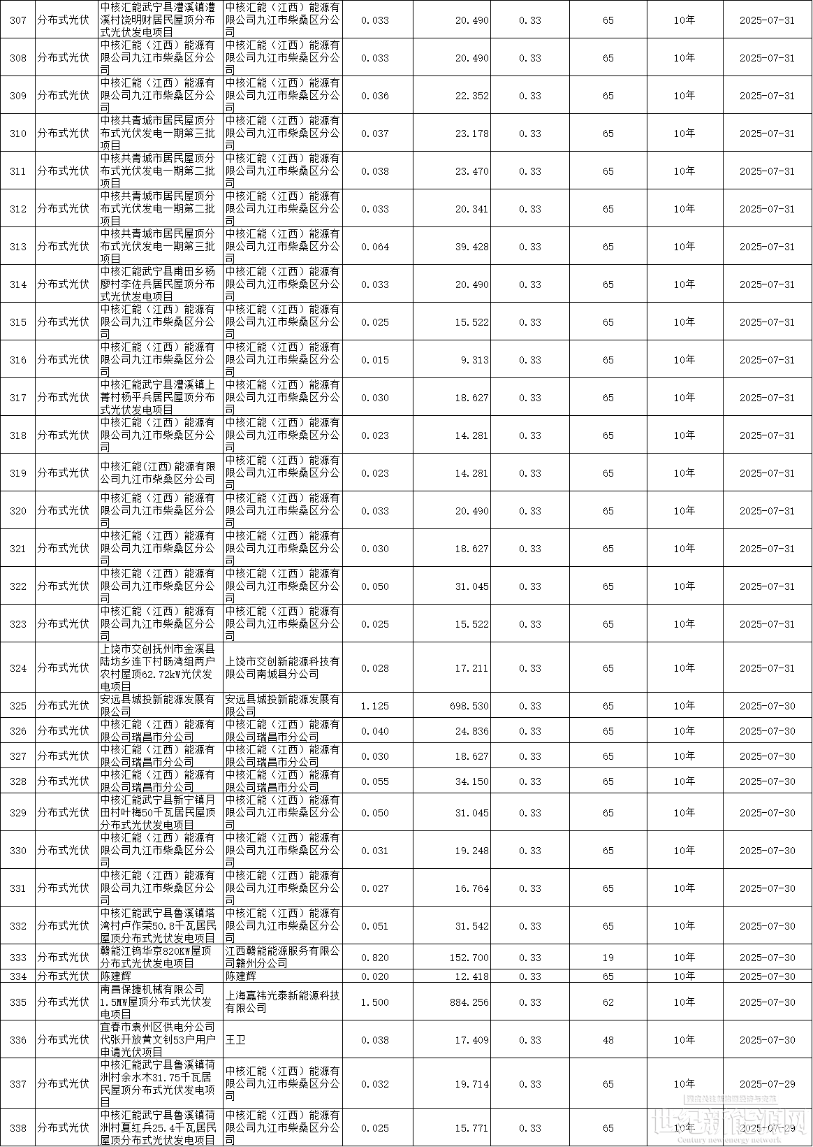
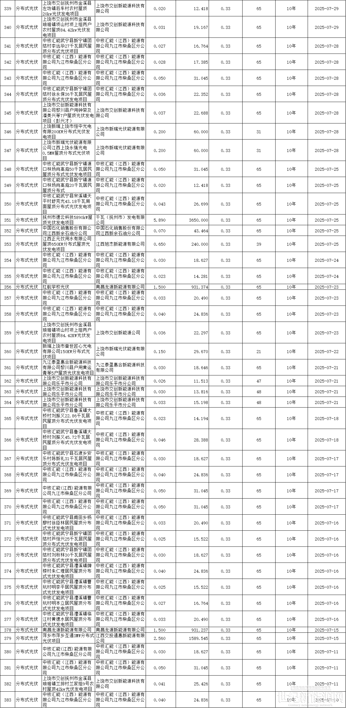
经公开竞价和结果公示,2025年我省新能源机制电价竞价结果为:风电项目机制电量为4.62亿千瓦时,机制电价为0.375元/千瓦时(含税,下同);光伏项目机制电量为1.31亿千瓦时,机制电价为0.330元/千瓦时。详见附件。
二、结算原则
纳入机制的新能源项目机制电价结算原则根据《江西省发展改革委关于印发<江西省新能源可持续发展价格结算机制差价结算细则>的通知》(赣发改价管〔2025〕720号)规定执行。本次竞价入选项目,申报投产时间在竞价结果公布前的,机制电价自10月1日起执行,其余项目机制电价自申报的投产时间起执行。
附件:江西省2025年新能源机制电价首次竞价结果
江西省发展和改革委员会













免责声明:本平台仅供信息发布交流之途,请谨慎判断信息真伪。如遇虚假诈骗信息,请立即举报
举报